Comision 0%.
Spatii de birouri „open space sau deja compartimentate de inchiriat.
Spatiile se afla intr-o cladire complet renovata (16 etaje), cladire de birouri clasa A, construita din materiale rezistente si cu un design arhitectural modern.
Cladirea Riverside Tower este situata in partea central-vestica a Bucurestiului, in zona Grozavesti - Politehnica, noul pol de birouri al capitalei.
Spatiile pot fi livrate atat mobilate, cat si nemobilate, in functie de preferintele clientilor, iar recompartimentarea conform nevoilor fiecarei companii este gratuita.
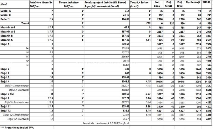
Pret inchiriere mp – incepând cu 7 Euro + TVA.
Lista spatiilor disponibile:
Basement A – 5.20 mp (7 Euro mp + TVA)
Basement B – 23.15 mp (7 Euro mp + TVA)
Parter – 184.02 mp (15 Euro mp + TVA)
Terasă (backyard) – 260 mp (2 Euro mp + TVA)
Mezzanine A 1 – 68.5 mp (11.5 Euro mp + TVA)
Mezzanine A 2 – 197.09 mp (11.5 Euro mp + TVA)
Mezzanine B – 267.32 mp (11.5 Euro mp + TVA)
Mezzanine C – 167.42 mp + Balkony – 4.51 mp (11.5 Euro mp + TVA, balcon 6 Euro mp)
1st Floor
* 1A – 9 Eur mp + TVA (159.09 mp)
* 1C – 8 Eur mp + TVA (236.69 mp)
* 1D – 8 Eur mp + TVA (90.16 mp)
* 1E – 7 Eur mp + TVA (56.02 mp)
2nd Floor – 400 mp (9 Euro mp + TVA)
2nd Floor – 600 mp (9 Euro mp + TVA)
3rd Floor – 178,41 mp (9 Euro mp + TVA)
4th Floor – Semanatoarea side – 552.77 mp + Balkony – 4.15 mp (10 Euro mp + TVA, balcon 7 Euro mp)
4th Floor – Grozavesti side – 488.82 mp (10 Euro mp + TVA)
6th Floor – Grozavesti side – 218.00 mp (11 Euro mp + TVA)
7th Floor – Semanatoarea side – 280.65 mp + Balkony – 5.53 mp (11 Euro mp + TVA, balcon 7 Euro mp)
9th Floor – Semanatoarea side – 277.71 mp + Balkony – 5.66 mp (11.5 Euro mp + TVA, balcon 7 Euro mp)
11th Floor – 275.66 mp + Balkony – 5.69 mp (11.5 Euro mp + TVA, balcon 7 Euro mp)
12th Floor – Semanatoarea side – 275.90 mp + Balkony – 5.18 mp (12 Euro mp + TVA, balcon 7 Euro mp)
14th Floor – Grozavesti side – 115.00 mp (13 Euro mp + TVA)
Serviciile de operare si mentenanta Facility Management sunt facturate separat la pretul de 3.6 euro mp lunar.
Spatiile sunt disponibile imediat. Ne puteti contacta oricand in legatura cu inchirierea unui spatiu de birouri, iar echipa noastra va va oferi toate informatiile necesare, si la cerere poate proiecta planuri 2D-3D, in functie de nevoile dvs.
BENEFICII PENTRU CLIENTII ACESTEI OFERTE:
1. Beneficii oferite de zona:
Cladirea Riverside Tower, situata in zona Grozavesti, Bucuresti, ofera o serie de beneficii datorita amplasarii sale centrale si accesibilitatii excelente:
- Acces la transport in comun: Statiile de metrou Grozavesti si Petrache Poenaru se afla la doar cateva minute de mers pe jos (5 min, respectiv 10 min), oferind legaturi rapide catre cele mai importante zone ale orasului. De asemenea, in proximitate se gasesc statii de autobuz si tramvai, ceea ce face zona usor accesibila pentru angajati si vizitatori.
- Apropierea de zone universitare: Cladirea se afla aproape de campusurile universitare, inclusiv Politehnica Bucuresti, ceea ce faciliteaza accesul la talente tinere pentru companiile care inchiriaza birouri aici.
- Facilitati comerciale si de recreere: In apropiere sunt centre comerciale, restaurante si cafenele, ideale pentru intalniri de afaceri sau pauze de pranz. De exemplu, AFI Cotroceni, unul dintre cele mai mari mall-uri din Bucuresti, este la cateva minute de mers cu masina, iar Centrul Comercial Orhideea la circa 5 minute de mers pe jos. Se gasesc de asemenea in zona hoteluri pentru vizitatori care au nevoie de cazare. Parcuri, cum ar fi Parcul Grozavesti (10 min) si Gradina Botanica Dimitrie Brandza (10 min), sunt disponibile pentru relaxare sau activitati in aer liber.
- Acces rapid la autostrada A1 si alte rute principale, ceea ce face zona convenabila pentru cei care vin cu masina din afara orasului.
- Proximitatea de zonele de business: Este situata in apropiere de alte cladiri de birouri importante din zona Grozavesti-Orhideea, care este recunoscuta ca un hub de business in plina dezvoltare.
- Facilitati medicale si de invatamant: Zona este foarte bine populata cu clinici, farmacii si institutii de invatamant ceea ce poate reprezenta un atuu pentru angajati.
2. Beneficii tehnice ale ofertei:
Facility Management presupune, in primul rand, supravegherea si gestionarea cu atentie si profesionalism a tuturor activitatilor desfasurate in cadrul cladirii. Scopul este de a ne asigura ca toate operatiunile se desfasoara intr-un cadru sigur si optim, dar si ca bunurile clientilor sunt intretinute printr-o modalitate eficienta din punct de vedere financiar, mentinand valoarea cladirii pe o perioada mare de timp. Mai mult decat atat, administrarea unei cladiri include si servicii precum:
- Mentinerea curateniei in spatiul inconjurator, oferind chiriasilor un mediu ingrijit si curat - Curatarea zonelor de uz comun si public din cadrul terenului, in interiorul si exteriorul Cladirii - amenajari peisagistice, parcari, spatii de circulatie, deszapezire; Indepartarea gunoiului menajer;
- Asigurarea securitatii prin impiedicarea potentialelor infractiuni si crearea unui mediu sigur pentru chiriasi; Supraveghere video, 24 de ore 365 de zile; Alarma de incendiu, sisteme de tensiune usoara si sistem de securitate;
- Mentenanta tehnica a sistemelor, echipamentelor și a instalațiilor: HVAC, electrice, sanitare, de control access și evacuare de urgenta, de avertizare, alarmare si protectie la incendii si a celor de evacuare a fumului si a gazelor ****, de tratare si pompare a apei, de tip BMS; Echipa tehnica prezenta in cladire 8 ore zi, 5 zile pe saptamana; Reparatii lunare in spatiile comune.
- Asistenta la receptie.
- Serviciu privat de pompieri (13 pompieri, cate 3 pe tura) 24 ore 24 ore – 7 zile.
- 6 Lifturi de mare viteza, 3 dintre ele fiind lifturi panoramice.
3. Situatia juridica: Liber de sarcini.
ID ACTIV IMOB: 231119
CASA te bucuri!!!
Sediul central - Timișoara
Bulevardul Victor Babeș nr. 2, 300230, Timișoara, România
Tel: +40.374.40.44.98 / Fax: +40.256.401.179
Email: suport@imobiliare.ro
Luni - Vineri 08:00 - 20:00
Punct de lucru - București: Iride Business Park, Bld. Dimitrie
Pompeiu 9-9A, Clădirea B2B,
020335, Sector 2, București, România
CONTACT
Sediul central - Timișoara
Bulevardul Victor Babeș nr. 2, 300230, Timișoara, România
Tel: +40.374.40.44.98 / Fax: +40.256.401.179
Email: suport@imobiliare.ro
Luni - Vineri 08:00 - 20:00
Punct de lucru - București: Iride Business Park, Bld. Dimitrie
Pompeiu 9-9A, Clădirea B2B,
020335, Sector 2, București, România
Proprietate privata Metrorex. Depoul Ciurel - este situat sub stadionul de rugby Ciurel (M1)
aprox.
1423 m
Metrorex. Stația Gara de Nord 2 (M4)(2000)
aprox.
1478 m
Academia Militară (M5)
aprox.
1515 m
Metrorex. Stația Gara de Nord 1 (M1)(1987)
aprox.
1670 m
Gara de Nord 1
aprox.
1691 m
Acces Stația Eroilor (M3).
aprox.
1726 m
Metrorex. Stația Gara de Nord
aprox.
1757 m
Pod Grozavesti
aprox.
374 m
Statia Pod Grozavesti linia: 1, 11, 35
aprox.
409 m
Calea Plevnei
aprox.
683 m
Spitalul Panait Sarbu
aprox.
839 m
Statia Spitalul Panait sarbu, linia 44
aprox.
844 m
Calea Giulesti
aprox.
877 m
Bd. Iuliu Maniu
aprox.
962 m
Statia Piata Crangasi linia:41
aprox.
1154 m
Pasaj Grant
aprox.
1164 m
Statie Tramvai 41 - Soseaua Crangasi
aprox.
1167 m
Gara Basarab
aprox.
1175 m
Soseaua Crangasi
aprox.
1177 m
Piata Crangasi
aprox.
1193 m
Statie Tramvai 41 - Piata Crangasi
aprox.
1197 m
Statia Pasaj Grant, linia 44
aprox.
1207 m
Fosta Gara Regala Cotroceni (en)
aprox.
1087 m
Gara Basarab
aprox.
1178 m
Gara Bucuresti Nord
aprox.
1392 m
Vechea "Gara a Targovistei" astazi parte din Gara de Nord
aprox.
1518 m
Gara Bucuresti-Cotroceni
aprox.
1721 m
Halta CFR Bucuresti Basarab h
aprox.
1970 m
Statie Gara Basarab 133, 178, 282, 105, 123, 162, 780
aprox.
1168 m
Statia Pod Cotroceni, linia 93, 62, 96
aprox.
1286 m
Statie Soseaua Nicolae Titulescu 65, 97, 86
aprox.
1355 m
Statie Pasaj Grant 65, 97, 86
aprox.
1470 m
Statie Cimitirul Sf. Vineri 65, 97, 86
aprox.
1615 m
Statia Stirbei Voda, linia 96
aprox.
1670 m
statia RATB Eroilor: 69, 96
aprox.
1703 m
Statie Caraiman 65, 97, 86
aprox.
1821 m
Statia RATB Lujerului, linia 61, 62
aprox.
1896 m
Statia Piata Operei, linia 61,69,90,91
aprox.
1925 m
Intercollege IBS Romania (en)
aprox.
293 m
Universitatea Ecologica din Bucuresti
aprox.
420 m
Universitatea Ecologica Bucuresti
aprox.
442 m
UPB - Facultatea de Transporturi
aprox.
499 m
Universitatea "Politehnica", Facultatea Transporturi, Facultatea de Inginerie In Limbi Straine
aprox.
527 m
Facultatea Stiinte Aplicate
aprox.
611 m
Corpurile AN si BN din Univeristatea Politehnica Bucuresti
aprox.
635 m
Universitatea Politehnica Bucuresti.1968 ARH. OCTAV DOICESCU
aprox.
638 m
Rectorat Universitatea Politehnica Bucuresti
aprox.
653 m
FIMM si IMST, corpurile CB, CD, CF si CK (en)
aprox.
657 m
Universitatea Politehnica Bucuresti
aprox.
666 m
Universitatea Politehnica din Bucuresti
aprox.
684 m
Facultatea de Filosofie, Universitatea din București
aprox.
768 m
Universitatea Bucuresti - Facultatea de Filosofie
aprox.
768 m
Facultatea de Biologie
aprox.
812 m
Gradinița Dumbrava Fermecată
aprox.
320 m
Gradinita "Casa Montessori"
aprox.
995 m
Gradinita Dreams World
aprox.
1148 m
Gradinita Zum-zum
aprox.
1235 m
Gradinita Madeleine
aprox.
1275 m
Gradinita MAPN nr.1
aprox.
1296 m
Gradinita de copii nr. 285
aprox.
1379 m
Gradinita nr. 271
aprox.
1495 m
Gradinita Happy Tweety
aprox.
1545 m
Gradinita nr 40
aprox.
1561 m
Gradinita 246
aprox.
1635 m
Gradinita de copii nr 197 "Zana Florilor"
aprox.
1690 m
Gradinita 197
aprox.
1697 m
Gradinita nr. 206
aprox.
1780 m
Gradinita nr. 112
aprox.
1845 m
Casa Corpului Didactic a Municipiului Bucuresti
aprox.
334 m
Casa corpului didactic
aprox.
342 m
Colegiul UCECOM Spiru Haret
aprox.
354 m
Liceul Mircea Eliade
aprox.
426 m
Stiinte Aplicate (Corpul BN)
aprox.
611 m
Scoala Generala nr.168
aprox.
821 m
Scoala generala nr. 168
aprox.
871 m
Spiru Haret
aprox.
1009 m
Colegiul Tehnic de Material Rulant prntru Transporturi Feroviare
aprox.
1034 m
Colegiul tehnic Iuliu Maniu
aprox.
1043 m
Scoala Gimnaziala Uruguay
aprox.
1108 m
Colegiul Tehnic de Material Rulant pentru Transporturi Feroviare
aprox.
1119 m
Scoala Nr. 167
aprox.
1123 m
Scoala Generala 167
aprox.
1123 m
Cladirea PRECIS
aprox.
1144 m
Carrefour Orhideea
aprox.
585 m
IDM
aprox.
982 m
Lidl
aprox.
1065 m
Kaufland
aprox.
1134 m
Penny
aprox.
1155 m
Grant Shopping Center
aprox.
1158 m
Galeriile Comerciale Crangasi
aprox.
1159 m
Mega Image Titulescu 2
aprox.
1375 m
Lidl
aprox.
1393 m
Auchan Cotroceni
aprox.
1445 m
Shop & Go - Mega Image
aprox.
1451 m
Real hypermarket (en)
aprox.
1489 m
AFI Cotroceni
aprox.
1500 m
Ami Non-Stop
aprox.
1557 m
Best Market 1
aprox.
1627 m
Intrarea in caminele C si D din grozavesti
aprox.
623 m
Parcare
aprox.
52 m
Parcare
aprox.
84 m
Parcare
aprox.
239 m
Parcare
aprox.
250 m
Parcare
aprox.
350 m
Parcare privata
aprox.
360 m
Parcare
aprox.
365 m
Parcare privata
aprox.
377 m
Parcare
aprox.
383 m
Parcare privata
aprox.
404 m
Parcare privata
aprox.
405 m
Parcare
aprox.
409 m
Parcare
aprox.
576 m
Parcare
aprox.
629 m
Parcare
aprox.
670 m
Teren sportiv
aprox.
448 m
Teren sportiv
aprox.
491 m
Teren sportiv
aprox.
734 m
Teren sportiv
aprox.
1093 m
Teren sportiv
aprox.
1219 m
Teren sportiv
aprox.
1228 m
Teren fotbal
aprox.
1245 m
Teren fotbal
aprox.
1265 m
Teren fotbal
aprox.
1271 m
Teren fotbal
aprox.
1311 m
Teren fotbal
aprox.
1318 m
Teren fotbal
aprox.
1323 m
Teren sportiv
aprox.
1351 m
Stadionul Giulesti - Valentin Stanescu
aprox.
1394 m
Teren sportiv
aprox.
1416 m
Parc
aprox.
672 m
Parcul Grozavesti
aprox.
672 m
Parcul Grozavesti
aprox.
694 m
Gradina Botanica Bucuresti
aprox.
868 m
Gradina Italiana
aprox.
882 m
Grădina botanică
aprox.
887 m
Gradina Italiana
aprox.
896 m
Parc
aprox.
1092 m
Parc
aprox.
1105 m
Parculet
aprox.
1116 m
Parc
aprox.
1124 m
Complexul Studentesc Leu
aprox.
1144 m
Gradina Palatului Cotroceni
aprox.
1201 m
Cotroceni
aprox.
1201 m
Parc
aprox.
1237 m
Intersectia Leu
aprox.
1035 m
Piața Eroilor
aprox.
1667 m
Cabinet medical "Alexandrescu Cristian si Daniela" Regie P7
aprox.
296 m
Centru de dezintoxicare.
aprox.
644 m
Sf. Stelian
aprox.
644 m
maternitatea giulesti
aprox.
797 m
Spitalul Panait Sarbu
aprox.
797 m
Clinica Regina Maria (CMU)
aprox.
862 m
Ambulatoriul de specialitate pentru copii si tineri
aprox.
1065 m
Ama Optimex
aprox.
1074 m
Spitalul CFR 1 (Witing)
aprox.
1273 m
Witting Hospital (Spitalul CFR) (en)
aprox.
1284 m
Spitalul Clinic nr.1 CF Witing
aprox.
1284 m
Life Care Medical
aprox.
1289 m
Munor Cris Medica
aprox.
1298 m
"Carol Davila"Military Hospital (en)
aprox.
1350 m
Munposan 94
aprox.
1380 m
Online Pharma-Clinic
aprox.
350 m
Farmin
aprox.
398 m
Centrofarm
aprox.
548 m
Apoteca Farmacie
aprox.
1007 m
Farmacie
aprox.
1074 m
Clinica
aprox.
1086 m
Farmacie
aprox.
1163 m
Catena
aprox.
1184 m
Sensiblu
aprox.
1186 m
Farmacia Belladonna 64
aprox.
1193 m
Catena Farmacie
aprox.
1203 m
Farmaciile Help-Net
aprox.
1219 m
Plafar
aprox.
1236 m
Farmacia ALCON
aprox.
1238 m
Farmacia Richter
aprox.
1246 m
SPAZIO Restaurantul lui Petrisor
aprox.
68 m
Caterinca Bar Restaurant
aprox.
110 m
Dream
aprox.
121 m
Restaurant Maria si Ion
aprox.
160 m
Club 21
aprox.
169 m
Club 21
aprox.
179 m
Orhideea
aprox.
199 m
Restaurant Vanity
aprox.
247 m
Trattoria20
aprox.
253 m
Disco Maxx
aprox.
262 m
Bar,Bistro 20
aprox.
262 m
Pui de Urs
aprox.
287 m
Restaurant "Pui de Urs"
aprox.
289 m
Bellissimo
aprox.
291 m
Bio Bio La Manele
aprox.
313 m
Rock'n'Regie
aprox.
123 m
La Jeg
aprox.
1032 m
Bar Adesim
aprox.
1241 m
Caffe No. 35
aprox.
1753 m
Marvin bar&more
aprox.
1975 m
Caffe Bordo
aprox.
158 m
Ceainaria Cotroceni
aprox.
1382 m
Blitz Caffe
aprox.
1627 m
Roz Cafe
aprox.
1809 m
Ramayana Cafe
aprox.
1839 m
Roxy Pub
aprox.
162 m
Club Piranha
aprox.
262 m
Lucky Poin
aprox.
639 m
Quantic Pub
aprox.
675 m
Filos Pub
aprox.
690 m
StudentPub
aprox.
1088 m
Biliard
aprox.
1441 m
Taverna Bradet
aprox.
1600 m
The Dubliner
aprox.
1958 m
BRD
aprox.
246 m
BRD
aprox.
512 m
Bancomat Raiffeisen
aprox.
542 m
BCR
aprox.
578 m
BRD
aprox.
664 m
BRD
aprox.
664 m
Banca Transilvania - Ag. Sema Parc
aprox.
803 m
Agentie BT
aprox.
1038 m
Banca Transilvania - Ag. Apaca
aprox.
1042 m
BCR
aprox.
1051 m
Agentie BRD
aprox.
1053 m
Banca BCR + Bancomat
aprox.
1060 m
Agentie ING
aprox.
1064 m
ING
aprox.
1074 m
BRD
aprox.
1074 m
În funcție de zona din acest cartier în care se va afla noua ta locuință, vei avea la dispoziție atât stația de metrou Grozăvești, cât și stațiile Petrache Poenaru și Politehnica. Îți oferă legături spre zonele Străulești și Pipera, dar și spre Piața Victoriei sau spre sud-est a orașului. Mai multe autobuze și troleibuze își au, de asemenea, stațiile de-a lungul Bulevardului Iuliu Maniu. Consultă harta pentru a afla unde găsești stațiile mijloacelor de transport în comun din zonă.
Universitatea Politehnică din București este principala instituție de învățământ superior din această parte a orașului. În apropiere se află și universitatea privată "Artifex" și Universitatea Ecologică din București. În zona Leu, situată în proximitatea stației de metrou Politehnica, își au sediul inclusiv mai multe facultăți care fac parte din Universitatea din București. La doi pași de stația de metrou Grozăvești găsești complexul studențesc cu același nume, dar și complexul Regie. Găsești, mai jos, și alte unități de învățământ situate în zona Grozăvești-Politehnică și în vecinătatea acesteia.
Dacă te vei muta în zona Grozăvești - Politehnică îți vei putea face cumpărăturile la Centrul Comercial Orhideea, care include un hipermarket Carrefour, aflat la intersecția dintre Splaiul Independenței și Șoseaua Orhideelor. Pentru mai multă diversitate, vei avea la doi pași mall-ul AFI Cotroceni, unul dintre cele mai mari din oraș. Aici găsești și un hipermarket Auchan. Cu mașina sau cu metroul poți să ajungi destul de ușor și la Complexul Agroalimentar Crângași. Nici mall-ul Plaza România nu se află la mare depărtare. Consultă harta pentru a afla care va fi cel mai apropiat magazin de viitoarea ta locuință.
Zona Grozăvești-Politehnică este traversată de una dintre cele mai importante artere de circulație din Capitală, Splaiul Independenței, care leagă vestul Bucureștiului de centru. Splaiul Independenței este și unul dintre cele mai circulate bulevarde din București, iar cel mai aglomerat punct de care te vei lovi în trafic, dacă te vei muta în această zonă, va fi cel de la intersecția cu Șoseaua Orhideelor. Zona Grozăvești - Politehnică este traversată de una dintre cele mai importante artere de circulație din Capitală, Splaiul Independenței, care leagă vestul Bucureștiului de centru. Splaiul Independenței este și unul dintre cele mai circulate bulevarde din București, iar cel mai aglomerat punct de care te vei lovi în trafic, dacă te vei muta în această zonă, va fi cel de la intersecția cu Șoseaua Orhideelor. Consultă harta pentru mai multe detalii.
Vrei o locuință în zona Grozăvești - Politehnică, dar nu știi exact ce ai putea să faci aici în timpul liber? Vei avea numeroase opțiuni de recreere. În primul rând, în apropiere de Regie se află Complexul Sportiv Sportul Studențesc București. Aici vei putea merge la meci sau vei putea juca tenis alături de prietenii tăi. Dacă ai copii, nu trece cu vedere opțiunea înscrierii lor la cursurile de înot care se organizează în cadrul complexului. Tot în vecinătatea căminelor din Regie există, totodată, mai multe terase, cafenele și cluburi frecventate, în principal, de studenți. La film poți să mergi în AFI Palace Cotroceni. Mall-ul are și un patinoar în interior și spații de joacă pentru copii. Food court-ul este destul de extins, așa că după o sesiune de shopping poți să iei masa la unul dintre restaurante.
Printre unitățile medicale disponibile în zona Grozăvești - Politehnică și în apropierea sa, se numără Spitalul Clinic de Obstetrică și Ginecologie Profesor Doctor Panait Sârbu (Maternitatea Giulești), Spitalul Clinic Doctor Theodor Burghele, Spitalul CF Witting și Spitalul Universitar de Urgență București. Vezi pe hartă unde sunt localizate clinicile private din împrejurimi.
Câteva fast food-uri găsești în Centrul Comercial Orhideea, iar pentru mai multă diversitate poți să vizitezi oricând food court-ul din mall-ul AFI Cotroceni și cafenelele aflate la parterul clădirilor de birouri AFI. Cu mașina sau cu metroul poți să ajungi repede la Piața Victoriei, iar dacă nici localurile de aici nu te satisfac, cu siguranță vei găsi ceva pe gustul tău mergând pe Calea Victoriei. Într-un weekend poți vizita și ceainăriile din Cotroceni. Aruncă o privire pe hartă și vezi unde vei găsi cel mai apropiat restaurant de viitoarea ta locuință.
Găsești un bancomat BRD în Centrul Comercial Orhideea și o sucursală BCR vis-a-vis în clădirea The Bridge. O sucursală Banca Transilvania și ING Bank ai în zona Leu, la intersecția dintre Bulevardul Iuliu Maniu și Bulevardul General Vasile Milea. Găsești mai multe bancomate și sucursale bancare și în cadrul mall-ului AFI Palace Cotroceni, cel mai apropiat de viitoarea ta locuință. Consultă harta și află unde sunt localizate și alte bănci sau ATM-uri în zona de care ești interesat.
Înainte să pleci...
Ești sigur că ai văzut și aceste proprietăți?
4.763 € / lună
București, Pipera
433 mp utili
Clădire de birouri
12E
4.350 € / lună
București, Grozăvești
435 mp utili
Clădire de birouri
6E
5.210 € / lună
București, Pipera
521 mp utili
Clădire de birouri
6E
23.812 € / lună
București, Regie
1.452 mp utili
Clădire de birouri
P+1E
2.415 € / lună
București, Regie
230 mp utili
Clădire de birouri
P+2E
3.920 € / lună
București, Calea Victoriei
280 mp utili
Clădire de birouri
5E
Creează alertă
Salvează căutarea ca să primești pe email ultimele anunțuri publicate
Birouri cu 4+ camere de închiriat în zona Grozăvești, Sector 6
Cere detalii prin email
*
*
*
*
Detaliile tale de contact vor fi partajate cu Activ Imob - Casa Te Bucuri